優質的服務流程
· quality of service processes ·

需求溝通傾聽客戶需求,了解用戶使用環境和現場工況
方案設計根據現場實際工況,針對性出具解決方案
合同簽訂技術和商務規范確認,簽訂合作協議
產品制作選擇最優質的元器件,嚴格按照技術協議
調試安裝現場規范安裝,靜態動態調試,分析儀運行
售后服務后續維護,持續跟進,終身維修

全國熱線
銷售熱線
公司地址山東濟南市槐蔭區太平河南路1567號均和云谷濟南匯智港6號樓

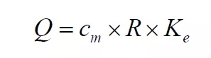
其中:
Q:排氣筒的允許排放速率,單位kg/h;
cm:環境質量標準濃度限值(小時值),單位mg/m3。首先取GB3095-2012中所覆蓋污染物的24小時平均濃度,其中不涵蓋的污染物再參考TJ36-79或前蘇聯標準CH245-71標準中的居住區大氣中有害物質的最大允許濃度,若以上標準中均不涵蓋的污染物則直接參考北京或上?,F行大氣綜排中的較嚴格的排放速率。
R:排放系數,比如查標準江蘇地區15m和20m排氣筒分別取值為6和12;
Ke:地區性經濟技術系數,標準推薦取值為0.5~1.5,比如以江蘇非重點管控企業為例,可選經濟系數為1.0。


需求溝通傾聽客戶需求,了解用戶使用環境和現場工況
方案設計根據現場實際工況,針對性出具解決方案
合同簽訂技術和商務規范確認,簽訂合作協議
產品制作選擇最優質的元器件,嚴格按照技術協議
調試安裝現場規范安裝,靜態動態調試,分析儀運行
售后服務后續維護,持續跟進,終身維修